Jika anda ingin mendapatkan pekerjaan dengan jawatan tetap, sila buat permohonan kerja di Lembaga Kemajuan Johor Tenggara (KEJORA) dengan segera sebelum 20 April ini.
Terdapat pelbagai jenis jawatan yang ditawarkan mengikut kelayakan akademik untuk dipohon oleh anda yang berminat untuk mengisi kekosongan jawatan ini.
Anda boleh dapatkan info selanjutnya mengenai jawatan ini serta cara membuat permohonan seperti mana yang akan dikongsikan disini.
Baca juga: Pelbagai Jawatan Kosong Personel MyStep Unit Agropreneur Muda (UAM) MAFI. Mohon Secara Online
TARIKH TUTUP PERMOHONAN
Isi Kandungan
Tarikh tutup permohonan adalah sebelum atau pada:
- 20 April 2021/Selasa
SENARAI JAWATAN
Antara jawatan yang ditawarkan adalah seperti berikut:
- Pegawai Tadbir N41
- Pegawai Pertanian G41
- Penolong Pegawai Tadbir N29
- Penolong Jurutera JA29
- Penolong Perancang Bandar dan Desa JA29
- Penolong Pegawai Pertanian G29
- Penolong Pegawai Rancangan Tanah Gred G29
- Pembantu Tadbir (Perkeranian/Operasi) Gred N19
- Pembantu Kemahiran Gred H19
PEGAWAI TADBIR GRED N41


PEGAWAI PERTANIAN GRED G41


PENOLONG JURUTERA GRED JA29


PENOLONG JURUTERA GRED JA29


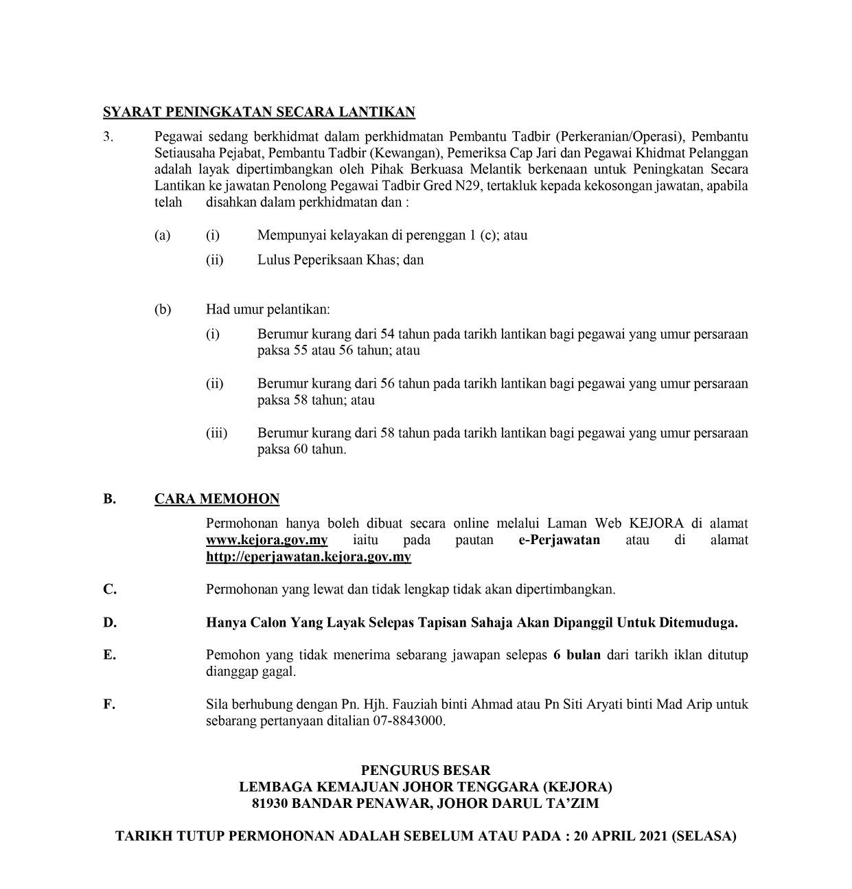
PENOLONG PEGAWAI TADBIR GRED N29


PENOLONG PEGAWAI PERTANIAN GRED G29


PENOLONG PEGAWAI PERTANIAN GRED G29


PENOLONG PEGAWAI PERANCANG BANDAR & DESA GRED JA29


PENOLONG PEGAWAI RANCANGAN TANAH GRED G29


PEMBANTU TADBIR (PERKERANIAN/OPERASI) GRED N19


PEMBANTU KEMAHIRAN GRED H19


CARA MEMBUAT PERMOHONAN JAWATAN LEMBAGA KEMAJUAN JOHOR TENGGARA (KEJORA)
Permohonan adalah secara online melalui laman web KEJORA di pautan berikut:

- Seterusnya klik pada DAFTAR PERMOHONAN untuk membuat permohonan.

- Masukkan NAMA, EMEL dan NOMBOR KAD PENGENALAN seterusnya klik DAFTAR.

MAKLUMAT LANJUT & PERMOHONAN
Sebarang maklumat mengenai permohonan jawatan kosong KEJORA, sila hubungi:
- +07 884 3000